ÀÛ¼ºÀÏ : 22-01-06 13:56
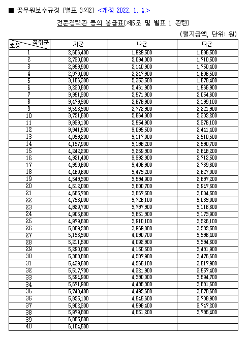
2022 °ø¹«¿ø ºÀ±ÞÇ¥
 ±Û¾´ÀÌ : ÃÖ°í°ü¸®ÀÚ
Á¶È¸ : 3,971  
   2022_°ø¹«¿øºÀ±ÞÇ¥.pdf (623.9K) [2] DATE : 2022-01-06 13:56:05

2022 °ø¹«¿ø ºÀ±ÞÇ¥